比较非均相臭氧催化氧化和均相臭氧氧化的特点?
在前面文章中介绍了Fenton 氧化技术、臭氧氧化法的原理,本文继续介绍臭氧氧化法的发展-非均相臭氧催化氧化和均相臭氧氧化。
结合物理场和投加均相或非均相催化剂可强化O3分解为自由基。其中,电场、光辐射等物理场向O3提供能量,使其激发分解为自由基,还可通过非均相或均相催化剂催化O3分解。
均相臭氧催化氧化法
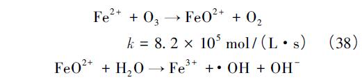
Hewes 等发现,在Fe2+、Mn2+、Ni2+ 或者Co2+ 存在下,TOC 去除率比O3单独氧化时更高。Bhat 等利用针铁矿催化O3氧化氯苯,发现比单独氧化更为高效。这些发现引起了人们对臭氧催化剂的广泛关注。目前,均相臭氧催化剂主要是一些过渡金属,如Cu2+、Zn2+、Fe2+、Mn2+、Ni2+、Co2+ 等。均相催化O3的机理主要有2 类。一类是金属离子直接催化O3分解,通过一系列电子转移过程产生·OH。例如,以Fe2+ 作为催化剂时,它会与O3形成中间体FeO2+,与H2O 产生·OH,也可将Fe2+氧化为Fe3+,如式( 38) —( 40) 所示。Mn2+、Co2+、Ni2+催化O3的过程如式( 41) —( 46) 所示:


通过比较不同金属对O3的催化过程,Wu 等总结了过渡金属均相催化O3的总反应式,如式( 47)所示; 当催化剂过量时,反而会淬灭·OH 降低氧化效率,如式( 48) 所示。

另一类均相催化O3机理是金属离子与有机物或者O3进行配位反应而促进O3和有机物的反应。Pines 等在pH = 6 时,采用Co2+ 催化O3氧化草酸时发现存在另一种非自由基的反应路径: 首先形成CoC2O4的络合物,再由O3氧化为Co( C2O4) +,该中间体易分解为Co3+ 和C2O-4·,被O3、O2等氧化,如式( 49) —( 52) 所示:

与其他O3氧化法类似,均相催化O3的反应路径及氧化效率与介质pH、臭氧浓度、催化剂投加量有关。一般地,均相催化反应的效率高于非均相催化反应,但由于均相催化剂主要以溶解态存在,回收难度大,需不断补充,一些催化剂流失可能会带来新的环境风险。
非均相臭氧催化氧化法
多年来,非均相催化剂的研究一直是O3氧化领域的热点。通常,非均相臭氧催化剂可分成金属氧化物( CuO、Fe2O3、MnO2、Al2O3等) 、碳基材料( CNTs、石墨烯等) 、矿物质、黏土、蜂窝陶瓷及以上材料的相互耦合。红外测试表明: 低温下O3在氧化物表面存在物理吸附、与表面质子化羟基形成氢键或静电吸附、与Lewis 位点发生化学吸附形成表面氧原子。
目前,非均相催化O3机理可分为自由基介导和非自由基介导,前者又可进一步分为自由基机理、氧空位机理、表面氧自由基机理等,后者主要指络合机理。自由基机理认为,O3与氧化物表面羟基发生吸附分解产生·O-2和HO2·,并通过电子转移生成·OH氧化有机分子,如式( 53) 、( 33) 、( 36) 、( 37) 所示,CeO2、Al2O3等遵循该机理。

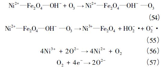
氧空位机理认为,金属氧化物表面存在许多晶格缺陷,这些缺陷可能影响O3的分解路径,其中,磁性多孔尖晶石结构MeFe2O4含有大量氧空位( Me 为金属元素,有Ni、Mn、Co 等) 。以NiFe2O4为例,当O3在氧化物表面发生化学吸附时,部分Ni2+ 被氧化为Ni3+,并产生HO-2·与·O-2,通过电子转移产生·OH,晶格氧将Ni3+还原为Ni2+,自身变成O2,形成空穴,在富氧条件下,空穴导电将O2还原为晶格氧,完成循环,如式( 54) —( 57) 所示:

表面氧自由基机理认为,对于n 型氧化物,O3在其表面吸附会生成氧自由基,其标准氧化电位为2. 42 V,高于O3,有助于氧化有机分子。
络合机理认为,因过渡金属具有空的d 轨道,而大部分有机物含有苯环、双键等电子云密度高的官能团,二者间易于形成金属有机配合物,O3与配合物反应而实现有机分子的氧化。例如,采用CeO2负载CuO 处理草酸时发现Cu( Ⅱ) 会与C2O2-4形成络合物,二价铜草酸络合物被O3氧化为极不稳定的三价铜草酸络合物,在配体分子内发生电子转移重新形成Cu( Ⅱ) 并产生强还原性的C2O-4·,被O2、O氧化,如式( 58) —( 60) 所示:

可见,非均相臭氧催化剂表面的活性位点为Lewis 位点和表面含氧官能团,如表面羟基。可控性调节这2 种催化位点被认为是臭氧催化剂研究的前沿方向之一。研究发现,通过Ti 掺杂可提高γ-Al2O3催化剂表面Lewis 位点强度,原因是Al-O-Ti 键的生成,由于Al 的电负性强于Ti,Al-O-Ti 键的电子云密度偏向Al,使Ti 表现出缺电子特性,Ti 的价态由掺杂前+3 上升为掺杂后的+4,即增强了表面Lewis 位点强度。
在实际工程中,该技术表现出较强的应用潜力。洪浩峰等将CuO、NiO 等金属氧化物负载在蜂窝陶瓷、活性炭、活性氧化铝等载体上催化O3氧化印染废水,发现采用活性炭负载Fe、Cu、Mn、Ni、Ba 的氧化物处理该废水均有效果,载铁型催化剂活性较高,在O3浓度为10 mg /L,pH = 6 的条件下,处理1 h 后,COD 去除率达到86%,且重复使用12 次后,去除率仍可达到86%。Zhang 等将焦化污泥制成生物炭催化O3降解0. 1 L 浓度为0. 2 g /L 的苯酚废水,在催化剂量为1 g /L,O3浓度和流量分别为14 mg /L 和1 L /min 的条件下处理0. 5 h,苯酚降解率可达95. 4%,而O3单独降解率仅为58. 2%。Wu 等采用CTAB 修饰后的NiO 催化氧化焦化废水的生物出水,在pH= 7. 1,ρ( O3) 为30 mg /L,流量为1 L /min,催化剂投加量为2 g /L,ρ( COD) 为90 mg /L,ρ ( TOC) 为30 mg /L 的条件下,处理1 h 后UV254降低97%,7 h后TOC 去除率达到100%,且催化剂在连续重复使用5次后,矿化率依然在95%以上。Martins 等 采用Mn-Ce-O 及N-150 催化O3降解制药废水中的新诺明和双氯灭痛,相比于O3单独降解,每毫克O3可处理的COD 量由0. 067 mg 增至0. 10 mg。
非均相臭氧催化技术受催化剂及其表面性质、pH、有机分子的性质等因素影响。催化剂性质如晶胞大小、比表面积、表面活性位点的数量以及零电点等,主要受制备方法及条件的影响。Zhang 等分别采用水热法和溶胶凝胶法合成ZnFe2O4用于降解苯酚废水,发现水热法制备的ZnFe2O4具有更大的比表面积和更强的催化活性,在pH= 6. 38,ρ( O3) 为14 mg /L,流量为1 L /min,ρ( 苯酚) 为300 mg /L 的条件下,O3单独氧化处理0. 5 h 后,苯酚去除率达到63. 4%;在相同条件下,采用溶胶凝胶法制备的催化剂催化氧化苯酚后,其去除率并无显著提高,而采用水热法制备的ZnFe2O4催化氧化后,苯酚去除率高达92. 6%。
pH 影响非均相催化反应的路径。Beltrán 等研究发现,当pH = 2 ~ 6 时,O3在催化剂表面吸附分解为氧原子,与H2O 生成·OH,若以S 代表催化剂表面的活性位点,反应如式( 61) —( 64) 所示。当pH>6时,体系中OH-在催化剂上形成表面羟基,进而催化O3生成·OH,反应如式( 65) —( 68) 所示。另外,体系pH 与催化剂的零电点( pHPZC) 之间的关系将影响催化剂表面羟基形态及O3吸附。当pH <pHPZC,催化剂表面羟基发生质子化,主要以—OH+2的形式存在,更有利于O3吸附; 当pH>pHPZC,催化剂表面羟基发生去质子化,主要以—O- 的形式存在,分别如式( 69) —( 70) 所示:

相较于均相臭氧催化剂,非均相臭氧催化剂具有容易回收、可重复利用、成本较低、改良空间大等优点,在去除难生物降解的有机污染物方面极具应用潜力。
目前,臭氧氧化技术的发展方向是增强O3传质以提高利用率,以及提高O3转化为·OH 的效率。从宏观上,体现为新型臭氧反应器和催化剂的研发。新型反应器的开发方面,主要围绕O3的原位产生、气体的均匀分布、梯级利用及微气泡应用。催化剂方面,集中在金属氧化物、分子筛或碳基材料的掺杂以及催化材料的形貌调控,如在沸石负载铈、铁、锰等氧化物,金属掺杂于碳纳米管,金属氧化物修饰另一种金属氧化物等。