电、超声、无铁Fenton 氧化技术的区别
目前,国内外已有大量关于AOPs 的研究与应用案例,涉及不同AOPs 的能耗评价,各种AOPs 产生活性物种的效率比较,总结了各种技术的优缺点,探讨了运行条件、影响因素、污染物降解机理、·OH 的形成机制等。本文着重介绍Fenton 氧化法从方法原理、影响因素、优缺点、发展方向等方面进行系统地归纳论述,开展了关于理论-技术-应用之间的发展与未来的思考。后面还会分析、臭氧氧化法、光催化氧化法、电化学法氧化、物理氧化法等理论-技术-应用
Fenton 氧化法的基本原理
目前,Fenton 法广泛应用于医药化工、精细化工、医药卫生、环境污染治理等领域。在废水处理中,Fenton 试剂对污染物的去除机理可分为自由基氧化机理和混凝机理。其中,自由基氧化机理是在酸性条件下,通过Fe2+ 催化H2O2产生·OH,如式( 1) 所示;所生成的·OH 可以加成到有机污染物的碳碳双键、苯环等不饱和键中,也可以通过夺取N—H、O—H、C—H 键上的氢原子生成R·,如式( 2) 所示; 在有氧条件下,R·会快速地与O2结合产生ROO·,ROO·会夺取其他RH 上的H,直至裂解为小分子有机酸或矿化为CO2和H2O,如式( 3) 所示[10]。在这些复杂的自由基反应体系中,存在大量的竞争反应,如式( 4) —( 11) 所示。其中式( 4) —( 6) 表明,Fe3+ 能通过H2O2和HO2·被还原成Fe2+,以此实现Fe2+和Fe3+的部分循环; 但是,由于式( 1) 的反应速率常数远大于式( 4) ,因此仍需不断补充Fe2+ ; 另外,·OH 的淬灭或转化为其他氧化活性较低的自由基( 如HO2·,O2·-等) ,是制约其矿化效率的重要原因,如式( 8) —( 11) 所示:

Fenton 氧化技术的影响因素
Fenton 氧化技术的处理效果主要受温度、pH 值、无机阴离子、Fe2+ 及H2O2浓度的影响。反应动力学表明,升温会提高正、副反应速率,适当升温可激活自由基,但同时也会加快H2O2的分解,一般在30 ℃左右为宜。由式( 1) 可知: 过高的pH 值不利于产生·OH 且会产生Fe ( OH)3沉淀; 当pH < 2 时,Fe2+ 会以[Fe( H2O)6]2+形式存在,据报道该形态与H2O2的反应速率较[Fe( H2O)5OH]2+ 更慢,且过低的pH 值会抑制式( 4) 、式( 5) 的进行,影响Fe2+ 和Fe3+ 循环,pH一般控制在2~4 为宜,很佳pH 值约为3。此外,SO2-4等阴离子可能会与Fe2+、Fe3+ 产生络合,使之不能有效地催化H2O2分解为·OH; Cl-、CO2-3等无机阴离子会参与争夺·OH 生成氧化活性更低的自由基,不利于污染物矿化。
Fe2+及H2O2浓度及比例也会影响·OH 产量。当ρ( Fe2+ ) /ρ( H2O2) >2 时,反应初期以式( 1) 为主要反应,迅速产生大量·OH,其产生速率高于消耗速率,导致过量的·OH 发生积聚或与其他物种发生竞争反应; 当ρ( Fe2+ ) /ρ( H2O2) = 1 时,反应初期以式( 1) 和式( 4) 为主,由于·OH 与有机物的反应速率高于H2O2或Fe2+,因此抑制了式( 8) —( 9) 的进行。当ρ( Fe2+ ) /ρ( H2O2) <<1 时,由于缺乏Fe2+,·OH 产生量少,而且H2O2对·OH 具有淬灭作用。
Fenton 氧化技术的优缺点
Fenton 氧化技术兼具凝聚作用,无须外界额外提供能量,操作简便,可控性强,具有经济性。但传统Fenton 法的·OH 产生速率低,体系中存在大量的竞争反应; 该技术需要在酸性条件下进行,出水需要调至中性,导致消耗大量药剂,增加处理费用,同时产生大量铁泥,增加了出水COD、色度并造成二次污染的风险,运输和储存H2O2需要较高的费用,存在安全风险。
Fenton 氧化技术的发展
针对传统Fenton 法的缺陷,学者们把光场、电场、超声波等引入Fenton 体系,并研究其他可能替代Fe2+ 的过渡金属,如铈、钴、锰、铜等。目前,类Fenton 技术主要包括光Fenton 法、电Fenton 法、超声Fenton 法及无铁Fenton 法。
1 .光Fenton 法
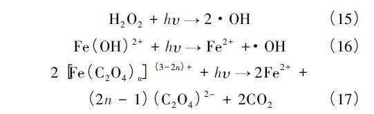
Ruppert 等首次将近紫外光引入Fenton 体系,发现近紫外光或可见光可大幅提高4-CP 的去除效率,证明光辐射可提高·OH 的生成速率,加快污染物降解效率。光Fenton 氧化机理认为: 在λ <300 nm的光照条件下,H2O2将发生光解产生·OH,该反应可提高H2O2的利用率,如式( 15) 所示; Fe3+ 络合物在紫外或近紫外光照下发生光还原,产生Fe2+ 和·OH,其光量子产率与照射波长有关,该反应不但可提高·OH 产量,还将加快体系中Fe3+ 和Fe2+ 的循环,减少Fe2+的投加量,如式( 16) 所示; 此外,紫外或可见光辐射还可以诱导某些污染物与Fe3+ 的络合物发生光降解,如式( 17) 所示]:

在应用方面,Feng 等在光照条件下,使用黏土负载铁的纳米复合材料催化H2O2对活性红废水进行脱色、矿化,初始浓度为100 mg /L 的活性红废水在很优条件下处理30 min 即可完全脱色,2h 时TOC 去除率可达76%。Elmolla 等在n( COD) ∶ n( H2O2) ∶n( Fe2+ ) 为1 ∶ 3 ∶ 0. 3,pH= 3, 365 nm 紫外光照射下,降解104 mg /L 阿莫西林、105 mg /L 氨比西林、103 mg /L氯洒西林,2min 内可实现抗生素的完全降解,10 min 内B /C 值由0 上升至0. 37,50 min 后,COD、DOC 去除率分别为80. 8%和58. 4%。Malato等探究了光催化降解敌草隆、吡虫啉、杀螨脒和灭多威,在30 W/m2 光照,维持H2O2、Fe2+ 浓度分别为15, 0. 05 mol /L 的条件下,4 种农药达到TOC 降解率90%时,所需时间分别为159,187,105,368 min。Hermosilla 等分别采用Fenton 和光Fenton 处理垃圾渗滤液,在优化条件下,二者均能达到70%的COD和TOC 去除率,但传统Fenton 法需多消耗32 倍的铁盐,且产生更多的铁泥。
在实际工程应用中,光Fenton 法比传统Fenton法更高效,比电Fenton 法更为节能,对有机物的降解速率比非均相光催化反应高3 ~ 5 倍。但该技术仍存在一些问题,例如光利用率不高; 由于Fe3+ 与有机物的络合物不易吸收光子,故只适宜处理中低浓度废水。因此,可通过研究光活性强的物种,如Fe3+ 和草酸络合物、Fe3+和柠檬酸络合物等,或联合电场、超声波等,以及结合新型反应器,以提高光能利用率和污染物降解的效能。
2 .电Fenton 氧化技术
电Fenton 氧化技术利用电化学方法产生H2O2,加速还原Fe3+来强化Fenton 氧化。其特点是在阳极产生ROS 或直接氧化污染物; 在供氧、酸性介质条件下,于阴极原位产生H2O2,并将Fe3+ 还原为Fe2+,分别如式( 18) —( 19) 所示。其中,式( 18) 的标准电位( E0 = 0. 695 V/SHE) 低于四电子还原的竞争反应( 见式( 20) ) ( E0 = 1. 23 V/SHE) ,因此式( 18) 优先进行:

Liu 等将纳米铁负载在活性炭纤维表面作为阴极,在中性条件下通以1. 2 V 的电压,将ρ( COD)为200 mg /L 的城市污水处理2 h 后降到70 mg /L,COD 去除率达到65%。方建章等以石墨为电极,阴极表面通入纯氧原位产生H2O2,以Na2SO4
溶液为电解质,加入0. 5 g /L 的FeSO4·7H2O,在pH = 2. 5,E = 6 V 条件下,降解酸性铬兰K 染料废水,处理1 h后,脱色率和COD 去除率分别为74. 1%、57. 9%; 处理2 h 后,脱色率和COD 去除率分别为92. 9%、71. 3%。Kurt 等采用牺牲阳极的电Fenton 氧化降解ρ( COD) 为2810 mg /L 的制革废水,比较了不同pH、H2O2剂量、电功率条件下COD 去除率及能耗情况,发现pH = 3 时处理效果很佳,COD 去除率超过70%,而在中性条件下COD 去除率> 60%; 在ρ( H2O2) 为1670 mg /L,电功率为15 W 的中性介质下,处理10 min 后COD 去除率达到58%,电耗为3. 8 kW·h /kg( COD) 。
相较于传统Fenton 技术,电Fenton 技术的优势在于利用电能和氧气原位产生H2O2,避免了H2O2运输与储存; 同时,可在阴极将Fe3+ 还原为Fe2+,节省Fe2+的投加量; 而向阴极曝气( 氧气或空气) 也能起到搅拌作用; 另外,除了自由基氧化之外,还存在阳极氧化、电吸附、电絮凝等,协同作用显著提高了去除有机物的能力。但是,电Fenton 技术仍存在一些缺陷,例如,受制于气体在电解液中的传质,H2O2的生成速率低; 受制于竞争反应,产生H2O2的极限电流密度为6. 4 A/m2; 对pH 值要求苛刻等。针对这些缺陷,应着重研究比表面积大、能高效电催化氧气原位产生H2O2的新型电极,如多孔石墨、活性炭纤维等;发展能效更高的三维电极电Fenton 技术及其反应器。另外,关注如何扩大适用pH 值范围,如通过络合剂对Fenton 试剂进行改性、采用过硫酸盐代替H2O2等。
3 . 超声Fenton 氧化技术
将超声波( 20~1700 kHz) 与Fenton 法结合,可加快H2O2分解为·OH 的速率,如式( 21) 所示。此外,超声空化作用对污染物有一定降解作用,且能促进体系介质的混合与传质,该技术可运用于处理诸多难生物降解污染物,如有机染料、药物等。
H2O2 + US →2·OH ( 21)
戴丽雅等应用该技术处理工业染料中间体废水,考察了pH、温度、超声波功率、ρ( Fe2+ ) /ρ( H2O2)等条件对COD 去除的影响,在很佳条件下反应40 min后,COD 降解率为92. 26%,色度由800 倍降为1 倍。Ma 等分别采用超声和超声Fenton 降解浓度为20 mg /L 的卡巴呋喃废水,超声降解2 h 后,卡巴呋喃的降解率超过40%,但是TOC 去除率<15%,说明大部分卡巴呋喃被氧化为中间体,而用超声Fenton 法处理30 min 后卡巴呋喃的降解率为大部分,且TOC 去除率高于40%。
4 .无铁Fenton 氧化技术
制约Fenton 法发展的因素之一为酸性介质条件,该因素也被视为其突破点之一。为了满足催化剂和H2O2之间的电子转移,优先考虑将多价态,沉淀pH 范围较高,且高价态可以充当H2O2氧化剂、低价态可以充当H2O2还原剂的元素作为理想Fenton 催化剂。目前,可满足上述条件的元素有Ce、Cr、Co、Cu、Mn、Al 等,其中,Ce、Cr、Cu 成为催化反应的关键循环步骤,分别如式( 22) —( 28) 所示。这些元素可在中性甚至碱性条件下催化H2O2分解为·OH。

在应用方面,Gabriel 等采用无铁Fenton 技术处理含PAHs 废水,催化剂CuSO4浓度为10 mmol /L,且氧化剂H2O2浓度为0. 1 mol /L 时,降解浓度均为10 mmol /L的菲、荧蒽和芘,结果发现,在室温下处理24 h,3 种PAHs 的降解率均超过80%。Ben-Moshe等研究了纳米级CuO 对H2O2的催化活性并用于去除有机污染物,结果表明,在c( H2O2) 为0. 05 mol /L 和pH= 4 ~ 9 时,处理20 min 后即可完全降解浓度约为500 μg /L 的菲和35 mg /L 的甲草胺。Fathy等采用MnO2 /MWCNT 纳米复合催化剂催化H2O2降解RB19 染料废水,在催化剂用量为0. 2 g /L、pH=6 条件下,处理2 h 后可将浓度为50 mg /L 的RB19染料完全降解。
目前,金属溶出和毒性是制约某些元素如Cr、Cu 等作为Fenton 催化剂大规模应用的重要因素。因此,发展稳定难溶出、催化活性高、使用pH 范围宽的非均相催化剂,是Fenton 系统可持续发展的方向,如MOFs、金属负载的活性炭、沸石或石墨烯等。
文章引自:第38 卷第2 期2020 年2 月
第一作者: 叶国杰( 1996-) ,男,硕士研究生,研究方向为高级氧化技术中高效催化剂及反应器设计。
通信作者: 韦朝海( 1962-) ,男,教授,博士生导师,研究方向为水污染控制理论与技术。